Son Dakika


ABD’nin Philadelphia kentinde yaşanan bir olay, Cumhuriyetçi Parti’nin başkan adayı Donald Trump’ın Amerikan halkından nasıl bu kadar destek gördüğünü izah eder nitelikteydi.
Washington Post’un haberine göre, olay aynen şöyle gelişti:
Philadelphia’dan Syracuse şehrine seyahat eden ödüllü bir ekonomist, yan koltuğunda oturan kadın tarafından şikayet edilince uçaktan indirildi. Gerekçe ise kadının, 40 yaşındaki Guido Menzio’nun elindeki defterdeki matematik notlarını Arapça yazı zannetmesiydi.
Otuzlu yaşlarındaki kadın, İtalyan ekonomistin elindeki notları fark etmeden önce, başarılı ekonomistle sohbet etmek istedi.
Ancak Menzio, Queen’s Üniversitesi’nde yapacağı konuşmaya hazırlandığı için kadını kısa cevaplarla geçiştirdi. Kısa süre sonra ise kadın bu kez kendiği yazdığı bir notu, yanına çağırdığı bir hostesin eline tutuşturdu. American Airlines şirketine ait 3950 sefer sayılı uçak henüz havalanmamıştı. Yolcular uçağın içinde yaklaşık yarım saat bekledi. Ardından da kadın, aynı hostes tarafından uçaktan indirildi.
Daha sonra ise pilot geldi ve kalkışın gecikmesine neden olan kişinin Menzio olduğunu açıkladı. Ve Menzio da uçaktan indirildi.
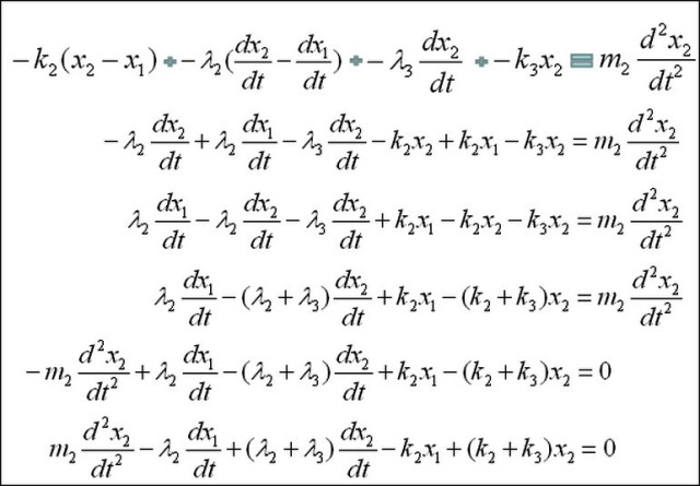
Sorguya alınan Menzio’ya, yan koltuğundaki kadının şikayeti aktarıldı. Kadının iddiası, Menzio’nun “Arapça” notlarında, uçağın havaya uçurulmasına ilişkin bir planın olabileceği yönündeydi. Oysa notlardaki yazı Arapça değildi, bir diferansiyel denklemdi.
Görevliler, Menzio’nun 40 yaşın altındaki en iyi İtalyan ekonomistlere verilen Carlo Alberto madalyası da bulunan başarılı bir ekonomist olduğunu öğrenince ise büyük utanç yaşadılar.
Uçaktaki diğer yolcuların da saatlerce bekletilmesine neden olayın ardından Menzio’yu şikayet eden kadın, ya utancından ya da halen devam eden korkusundan ötürü uçağa dönmedi.
BENZER HABERLER